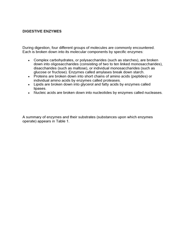
Digestive Enzymes Ks3 Tes . A lesson on enzymes of the digestive system for ks3 science. Answers to all tasks included. A full differentiated lesson based on the activate 2 sow. Enzymes are biological catalysts which speed up reactions including digestion. Simple gcse question included as a 'super stretch'. Carbohydrates, proteins and fats in food are broken down by digestion into smaller molecules that can be absorbed. Enzymes are biological molecules that act as catalysts to speed up. Teeth break down food in the mouth mechanically, this means they grind it up. I can describe the processes of mechanical and chemical digestion that break down food to release nutrients, including the role of enzymes. Learn how enzymes aid digestion and absorption with this bbc bitesize biology ks3 study guide. Presentation and worksheets for carbohydrase,. This resource may also be adapted for gcse science aqa, edexcel, and ocr specifications.
from www.healthcentral.com
Answers to all tasks included. A lesson on enzymes of the digestive system for ks3 science. A full differentiated lesson based on the activate 2 sow. Presentation and worksheets for carbohydrase,. Teeth break down food in the mouth mechanically, this means they grind it up. Learn how enzymes aid digestion and absorption with this bbc bitesize biology ks3 study guide. I can describe the processes of mechanical and chemical digestion that break down food to release nutrients, including the role of enzymes. Enzymes are biological molecules that act as catalysts to speed up. Simple gcse question included as a 'super stretch'. Carbohydrates, proteins and fats in food are broken down by digestion into smaller molecules that can be absorbed.
What are Digestive Enzymes and What Do They Do?
Digestive Enzymes Ks3 Tes Enzymes are biological catalysts which speed up reactions including digestion. Teeth break down food in the mouth mechanically, this means they grind it up. Enzymes are biological catalysts which speed up reactions including digestion. I can describe the processes of mechanical and chemical digestion that break down food to release nutrients, including the role of enzymes. Carbohydrates, proteins and fats in food are broken down by digestion into smaller molecules that can be absorbed. A lesson on enzymes of the digestive system for ks3 science. Answers to all tasks included. Learn how enzymes aid digestion and absorption with this bbc bitesize biology ks3 study guide. Simple gcse question included as a 'super stretch'. Enzymes are biological molecules that act as catalysts to speed up. A full differentiated lesson based on the activate 2 sow. Presentation and worksheets for carbohydrase,. This resource may also be adapted for gcse science aqa, edexcel, and ocr specifications.
From ar.inspiredpencil.com
Simple Enzyme Structure Digestive Enzymes Ks3 Tes Teeth break down food in the mouth mechanically, this means they grind it up. I can describe the processes of mechanical and chemical digestion that break down food to release nutrients, including the role of enzymes. Enzymes are biological catalysts which speed up reactions including digestion. Answers to all tasks included. A full differentiated lesson based on the activate 2. Digestive Enzymes Ks3 Tes.
From www.tes.com
The digestive system and enzymes. Teaching Resources Digestive Enzymes Ks3 Tes A lesson on enzymes of the digestive system for ks3 science. Carbohydrates, proteins and fats in food are broken down by digestion into smaller molecules that can be absorbed. This resource may also be adapted for gcse science aqa, edexcel, and ocr specifications. Learn how enzymes aid digestion and absorption with this bbc bitesize biology ks3 study guide. Enzymes are. Digestive Enzymes Ks3 Tes.
From www.youtube.com
KS3 Biology Enzymes and Digestion YouTube Digestive Enzymes Ks3 Tes Enzymes are biological catalysts which speed up reactions including digestion. Learn how enzymes aid digestion and absorption with this bbc bitesize biology ks3 study guide. I can describe the processes of mechanical and chemical digestion that break down food to release nutrients, including the role of enzymes. A lesson on enzymes of the digestive system for ks3 science. This resource. Digestive Enzymes Ks3 Tes.
From www.bbc.co.uk
Digestive enzymes and absorption Nutrition, digestion and excretion Digestive Enzymes Ks3 Tes Learn how enzymes aid digestion and absorption with this bbc bitesize biology ks3 study guide. Enzymes are biological catalysts which speed up reactions including digestion. Simple gcse question included as a 'super stretch'. I can describe the processes of mechanical and chemical digestion that break down food to release nutrients, including the role of enzymes. A lesson on enzymes of. Digestive Enzymes Ks3 Tes.
From www.tes.com
A level Enzymes in digestion Teaching Resources Digestive Enzymes Ks3 Tes A full differentiated lesson based on the activate 2 sow. Enzymes are biological molecules that act as catalysts to speed up. Carbohydrates, proteins and fats in food are broken down by digestion into smaller molecules that can be absorbed. I can describe the processes of mechanical and chemical digestion that break down food to release nutrients, including the role of. Digestive Enzymes Ks3 Tes.
From www.scribd.com
Digestive Enzymes PDF Digestive Enzymes Ks3 Tes Teeth break down food in the mouth mechanically, this means they grind it up. Answers to all tasks included. A lesson on enzymes of the digestive system for ks3 science. A full differentiated lesson based on the activate 2 sow. Enzymes are biological catalysts which speed up reactions including digestion. I can describe the processes of mechanical and chemical digestion. Digestive Enzymes Ks3 Tes.
From www.sliderbase.com
Digestive Enzymes Digestive Enzymes Ks3 Tes A full differentiated lesson based on the activate 2 sow. Enzymes are biological molecules that act as catalysts to speed up. Answers to all tasks included. Teeth break down food in the mouth mechanically, this means they grind it up. Enzymes are biological catalysts which speed up reactions including digestion. I can describe the processes of mechanical and chemical digestion. Digestive Enzymes Ks3 Tes.
From www.tes.com
KS3 Bacteria and enzymes in digestion Teaching Resources Digestive Enzymes Ks3 Tes Presentation and worksheets for carbohydrase,. Enzymes are biological molecules that act as catalysts to speed up. A lesson on enzymes of the digestive system for ks3 science. Teeth break down food in the mouth mechanically, this means they grind it up. Learn how enzymes aid digestion and absorption with this bbc bitesize biology ks3 study guide. A full differentiated lesson. Digestive Enzymes Ks3 Tes.
From www.studocu.com
Digestive system Enzymes are molecules that are made of proteins Digestive Enzymes Ks3 Tes Learn how enzymes aid digestion and absorption with this bbc bitesize biology ks3 study guide. Presentation and worksheets for carbohydrase,. A full differentiated lesson based on the activate 2 sow. I can describe the processes of mechanical and chemical digestion that break down food to release nutrients, including the role of enzymes. This resource may also be adapted for gcse. Digestive Enzymes Ks3 Tes.
From www.healthcentral.com
What are Digestive Enzymes and What Do They Do? Digestive Enzymes Ks3 Tes A lesson on enzymes of the digestive system for ks3 science. Enzymes are biological molecules that act as catalysts to speed up. This resource may also be adapted for gcse science aqa, edexcel, and ocr specifications. Learn how enzymes aid digestion and absorption with this bbc bitesize biology ks3 study guide. Answers to all tasks included. I can describe the. Digestive Enzymes Ks3 Tes.
From www.tes.com
Enzymes and digestion Loop Game (KS3/4) Teaching Resources Digestive Enzymes Ks3 Tes Enzymes are biological catalysts which speed up reactions including digestion. I can describe the processes of mechanical and chemical digestion that break down food to release nutrients, including the role of enzymes. Carbohydrates, proteins and fats in food are broken down by digestion into smaller molecules that can be absorbed. Simple gcse question included as a 'super stretch'. Enzymes are. Digestive Enzymes Ks3 Tes.
From www.bbc.co.uk
Digestive enzymes and absorption Nutrition, digestion and excretion Digestive Enzymes Ks3 Tes Enzymes are biological molecules that act as catalysts to speed up. Teeth break down food in the mouth mechanically, this means they grind it up. This resource may also be adapted for gcse science aqa, edexcel, and ocr specifications. A full differentiated lesson based on the activate 2 sow. Enzymes are biological catalysts which speed up reactions including digestion. I. Digestive Enzymes Ks3 Tes.
From dokumen.tips
(PDF) DIGESTIVE ENZYMES.pptx DOKUMEN.TIPS Digestive Enzymes Ks3 Tes Carbohydrates, proteins and fats in food are broken down by digestion into smaller molecules that can be absorbed. Learn how enzymes aid digestion and absorption with this bbc bitesize biology ks3 study guide. Teeth break down food in the mouth mechanically, this means they grind it up. This resource may also be adapted for gcse science aqa, edexcel, and ocr. Digestive Enzymes Ks3 Tes.
From www.tes.com
Bacteria and Enzymes in digestion KS3 Activate Science Teaching Resources Digestive Enzymes Ks3 Tes I can describe the processes of mechanical and chemical digestion that break down food to release nutrients, including the role of enzymes. Carbohydrates, proteins and fats in food are broken down by digestion into smaller molecules that can be absorbed. Enzymes are biological catalysts which speed up reactions including digestion. A lesson on enzymes of the digestive system for ks3. Digestive Enzymes Ks3 Tes.
From www.tes.com
KS3 digestion topic enzymes introduction LOW ABILITY Teaching Resources Digestive Enzymes Ks3 Tes Answers to all tasks included. I can describe the processes of mechanical and chemical digestion that break down food to release nutrients, including the role of enzymes. Learn how enzymes aid digestion and absorption with this bbc bitesize biology ks3 study guide. Teeth break down food in the mouth mechanically, this means they grind it up. A full differentiated lesson. Digestive Enzymes Ks3 Tes.
From www.tes.com
Enzymes and digestion Card sort (KS3/4) Teaching Resources Digestive Enzymes Ks3 Tes Teeth break down food in the mouth mechanically, this means they grind it up. Answers to all tasks included. This resource may also be adapted for gcse science aqa, edexcel, and ocr specifications. Presentation and worksheets for carbohydrase,. I can describe the processes of mechanical and chemical digestion that break down food to release nutrients, including the role of enzymes.. Digestive Enzymes Ks3 Tes.
From www.tes.com
Enzymes and digestion Plenary cubes (KS3/4) Teaching Resources Digestive Enzymes Ks3 Tes Answers to all tasks included. Carbohydrates, proteins and fats in food are broken down by digestion into smaller molecules that can be absorbed. Learn how enzymes aid digestion and absorption with this bbc bitesize biology ks3 study guide. A lesson on enzymes of the digestive system for ks3 science. A full differentiated lesson based on the activate 2 sow. Simple. Digestive Enzymes Ks3 Tes.
From www.youtube.com
ALL DIGESTIVE ENZYME AT ONE PLACESTUDY BYTES YouTube Digestive Enzymes Ks3 Tes Presentation and worksheets for carbohydrase,. A lesson on enzymes of the digestive system for ks3 science. Carbohydrates, proteins and fats in food are broken down by digestion into smaller molecules that can be absorbed. Simple gcse question included as a 'super stretch'. Answers to all tasks included. Learn how enzymes aid digestion and absorption with this bbc bitesize biology ks3. Digestive Enzymes Ks3 Tes.